
超强激光科学卓越创新简报
(第二百六十四期)
2022年4月16日
上海光机所在喷泉钟测磁方面取得新进展
近期,中国科学院量子光学重点实验室在原子喷泉钟的磁场评估研究方面取得新的研究成果,相关成果以“Improvement of average magnetic field measurement based on magnetic-sensitive Ramsey fringes”为题发表在Optics Letters 上。
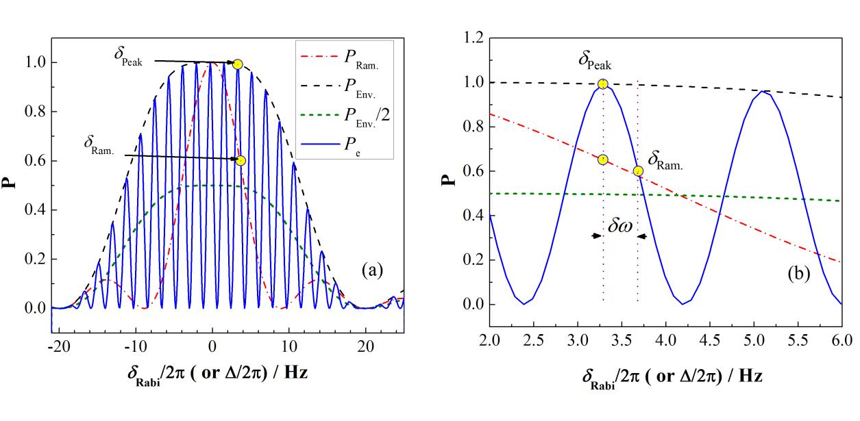
在影响原子喷泉钟的各自物理参数中,磁场是最主要因素之一,它引起的频率偏移在10-13量级,是喷泉钟最主要的偏移项。测量磁场强度是喷泉钟的一项重要研究工作,而磁敏Ramsey干涉实验是国际上主流的喷泉钟测磁方法。
研究团队从量子力学的密度矩阵出发,推导了严格的磁敏Ramsey干涉理论,发现已有的方法通过寻找干涉条纹顶点测量磁敏共振频率存在误差,该误差在10-17到10-16,对于高性能喷泉钟不可忽视。研究人员提出了Ramsey测磁方法的改进方案,可以修正该误差,更精确测量磁场,有助于获得不确定度更好的喷泉钟。该方法在铷85喷泉钟装置上得到实验验证。
相关研究得到中科院先导B项目支持。

图1 喷泉钟的磁敏Ramsey干涉测磁场强度的原理图

图2 目前已有方法的频率偏差及修正该偏差的改进方法